Politics.be Registreren kan je hier.
Problemen met registreren of reageren op de berichten?
Een verloren wachtwoord?
Gelieve een mail te zenden naar [email protected] met vermelding van je gebruikersnaam.

Ga terug   Politics.be > Themafora > Milieu
Registreer FAQForumreglement Ledenlijst Markeer forums als gelezen

Milieu Hier kunnen alle discussies woden gevoerd over milieu, kernenergie, klimaatswijziging, ....

Antwoord
 
Discussietools
Oud 3 december 2010, 12:39   #1
Nr.10
Secretaris-Generaal VN
 
Nr.10's schermafbeelding
 
Geregistreerd: 26 september 2003
Locatie: van Lissabon tot Vladivostok
Berichten: 34.800
Standaard Bacterie gevonden die arsenicum gebruikt als bouwsteen voor DNA & proteinen

Arsenicum vervangt fosfor in deze bacterie.

Alle levende wezens tot nu toe onderzocht gebruiken fosfor.

Volgens de wetenschappers verhoogt deze ontdekking de waarschijnlijkheid dat bacteriëel leven alomtegenwoordig zou kunnen zijn / is in het universum.
Bijgevoegde afbeelding(e)
  
__________________
Doorzoek forum.politics.be (aangepaste zoekmachine)

Laatst gewijzigd door Nr.10 : 3 december 2010 om 12:40.
Nr.10 is offline   Met citaat antwoorden
Oud 3 december 2010, 12:57   #2
abou Anis
Minister-President
 
Geregistreerd: 2 augustus 2006
Berichten: 4.786
Standaard

Citaat:
Oorspronkelijk geplaatst door Nr.10 Bekijk bericht
Arsenicum vervangt fosfor in deze bacterie.

Alle levende wezens tot nu toe onderzocht gebruiken fosfor.

Volgens de wetenschappers verhoogt deze ontdekking de waarschijnlijkheid dat bacteriëel leven alomtegenwoordig zou kunnen zijn / is in het universum.
Alle levende wezens gebruiken fosfor waarvoor?
abou Anis is offline   Met citaat antwoorden
Oud 3 december 2010, 13:02   #3
Nr.10
Secretaris-Generaal VN
 
Nr.10's schermafbeelding
 
Geregistreerd: 26 september 2003
Locatie: van Lissabon tot Vladivostok
Berichten: 34.800
Standaard

Citaat:
Oorspronkelijk geplaatst door abou Anis Bekijk bericht
Alle levende wezens gebruiken fosfor waarvoor?
http://nl.wikipedia.org/wiki/Fosfor
Citaat:
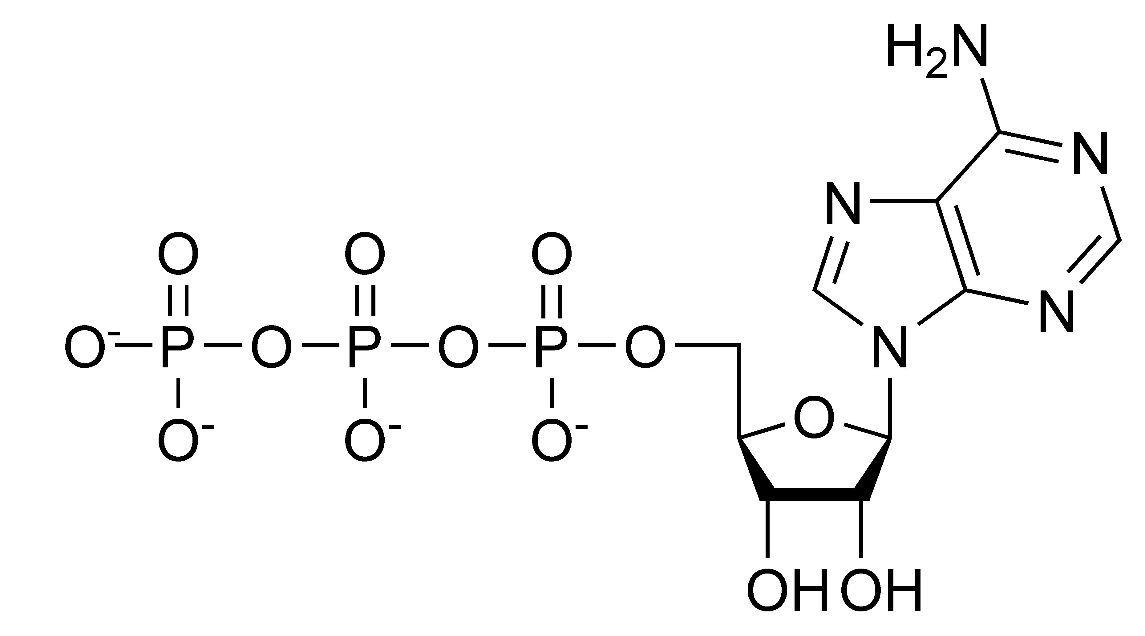
In de biologie speelt fosfor een belangrijke rol. DNA en RNA bestaan voor een deel uit anorganisch fosfor en in de vorm van adenosine trifosfaat (ATP) is fosfor belangrijk voor de opslag en transport van energie. Ook botten bestaan voor een groot deel uit calciumfosfaat.
Meer uitleg vind je hier.

(ATP: adenosine tri fosfaat)
Bijgevoegde miniaturen
Klik op de afbeelding voor een grotere versie

Naam:  atp.png‎
Bekeken: 150
Grootte:  30,8 KB
ID: 76599  

__________________
Doorzoek forum.politics.be (aangepaste zoekmachine)
Nr.10 is offline   Met citaat antwoorden
Oud 3 december 2010, 13:08   #4
abou Anis
Minister-President
 
Geregistreerd: 2 augustus 2006
Berichten: 4.786
Standaard

Citaat:
Oorspronkelijk geplaatst door Nr.10 Bekijk bericht
http://nl.wikipedia.org/wiki/Fosfor

Meer uitleg vind je hier.

(ATP: adenosine tri fosfaat)
Bedankt voor de toelichting.
abou Anis is offline   Met citaat antwoorden
Oud 3 december 2010, 13:20   #5
abou Anis
Minister-President
 
Geregistreerd: 2 augustus 2006
Berichten: 4.786
Standaard

Citaat:
Oorspronkelijk geplaatst door TotalRecallIsComing Bekijk bericht
wat een lachertje! het heelal zit propvol levende wezens! En allemaal op verschillende frequenties!!!
En ik heb al onmiddellijk een vermoeden dat u ettelijke van die frequenties kunt ontvangen.
abou Anis is offline   Met citaat antwoorden
Oud 3 december 2010, 13:35   #6
Pieke
Perm. Vertegenwoordiger VN
 
Pieke's schermafbeelding
 
Geregistreerd: 17 februari 2005
Berichten: 8.177
Standaard

Citaat:
Oorspronkelijk geplaatst door TotalRecallIsComing Bekijk bericht
hoezo? niet nodig hoor. gewoon een beetje denken.
Gezien de grootte van het heelal is het zeer onwaarschijnlijk dat er geen leven is,wel, als het onwaarschijnlijk is dat er leven is (in wat voor toestand dan ook) is er dus waarschijnlijk leven. Als er ander leven in het heelal is zijn we dus niet alleen. Voila!
ge had nog een beetje meer moeten denken

aangezien er al leven is in het heelal, nl het onze, is het "niet zeer onwaarschijnlijk dat er geen leven is", maar is er dus met zekerheid leven.
__________________
Bagle iabes . de bransg cordziz . a etharzi
The measure of a man is in what he does for those who can do nothing for him in return.
We give our consent every moment that we do not resist.
Reality is that which, when you stop believing in it, doesn't go away.
Pieke is offline   Met citaat antwoorden
Oud 3 december 2010, 13:44   #7
abou Anis
Minister-President
 
Geregistreerd: 2 augustus 2006
Berichten: 4.786
Standaard

Citaat:
Oorspronkelijk geplaatst door TotalRecallIsComing Bekijk bericht
prima! dus krioelt het in het hele heelal van het leven!

byw het leven hier kan je momenteel niet echt leven noemen!
Als er buitenaardse wezens zouden komen zouden ze zich afvragen waarom we in godsnaam voor eten en woning moeten betalen!
(is btw al gebeurd, maar is niks voor hier)
Draadje openen. Ik wil wel eens weten hoe dat bij die aliens gebeurt.
abou Anis is offline   Met citaat antwoorden
Oud 3 december 2010, 13:52   #8
Turkje
Eur. Commissievoorzitter
 
Turkje's schermafbeelding
 
Geregistreerd: 23 juli 2003
Berichten: 9.858
Standaard

Citaat:
Oorspronkelijk geplaatst door abou Anis Bekijk bericht
Alle levende wezens gebruiken fosfor waarvoor?
Energieopslag.

http://nl.wikipedia.org/wiki/Adenosinetrifosfaat

(edit: bon, rijkelijk te laat, die link)
__________________
Out of the blue, into the black

Laatst gewijzigd door Turkje : 3 december 2010 om 13:54.
Turkje is offline   Met citaat antwoorden
Oud 3 december 2010, 13:53   #9
Turkje
Eur. Commissievoorzitter
 
Turkje's schermafbeelding
 
Geregistreerd: 23 juli 2003
Berichten: 9.858
Standaard

Citaat:
Oorspronkelijk geplaatst door abou Anis Bekijk bericht
En ik heb al onmiddellijk een vermoeden dat u ettelijke van die frequenties kunt ontvangen.
__________________
Out of the blue, into the black
Turkje is offline   Met citaat antwoorden
Oud 3 december 2010, 13:55   #10
abou Anis
Minister-President
 
Geregistreerd: 2 augustus 2006
Berichten: 4.786
Standaard

Citaat:
Oorspronkelijk geplaatst door Turkje Bekijk bericht
Energieopslag.

http://nl.wikipedia.org/wiki/Adenosinetrifosfaat

(edit: bon, rijkelijk te laat, die link)
Maar daarom niet minder geapprecieerd
abou Anis is offline   Met citaat antwoorden
Oud 3 december 2010, 13:56   #11
abou Anis
Minister-President
 
Geregistreerd: 2 augustus 2006
Berichten: 4.786
Standaard

Citaat:
Oorspronkelijk geplaatst door Turkje Bekijk bericht
abou Anis is offline   Met citaat antwoorden
Oud 3 december 2010, 13:56   #12
Turkje
Eur. Commissievoorzitter
 
Turkje's schermafbeelding
 
Geregistreerd: 23 juli 2003
Berichten: 9.858
Standaard

Citaat:
Oorspronkelijk geplaatst door abou Anis Bekijk bericht
Maar daarom niet minder geapprecieerd
Mijn dag is weer goed zie
__________________
Out of the blue, into the black
Turkje is offline   Met citaat antwoorden
Oud 3 december 2010, 14:25   #13
abou Anis
Minister-President
 
Geregistreerd: 2 augustus 2006
Berichten: 4.786
Standaard

Citaat:
Oorspronkelijk geplaatst door TotalRecallIsComing Bekijk bericht
je kan ook goochelen
Helaas ontbeer ik daar de nodige vingervlugheid voor.
abou Anis is offline   Met citaat antwoorden
Oud 3 december 2010, 15:22   #14
Bovenbuur
Perm. Vertegenwoordiger VN
 
Bovenbuur's schermafbeelding
 
Geregistreerd: 16 oktober 2006
Locatie: Stiekem toch weer bovenbuur
Berichten: 15.503
Standaard

Citaat:
Oorspronkelijk geplaatst door TotalRecallIsComing Bekijk bericht
prima! dus krioelt het in het hele heelal van het leven!
Nee, er is leven. Krioelen is iets dat je met zijn allen op een hoop doet. Bovendien zegt deze vaststelling niks over die "verschillende frequenties", wat je daar ook mee bedoeld.

Citaat:
byw het leven hier kan je momenteel niet echt leven noemen!
Als er buitenaardse wezens zouden komen zouden ze zich afvragen waarom we in godsnaam voor eten en woning moeten betalen!
(is btw al gebeurd, maar is niks voor hier)
Niet te selectief he, we hadden het over leven. Niet specifiek over leven dat op twee benen loopt, om en nabij enkele meters lang is, begrippen als voeding en woning kent en in vliegende schotels rond loopt te crossen.
Gezien wij geen vliegende schotels hebben (op de Grieken na, vooral bij feeselijke aangelegenheden) vallen wij daar inderdaad niet onder.

Meer ontopic: leuke ontdekking dit, maar het blijft behoorlijk aards. Dan vond ik dat verhaal over dat DNA met 6 baseparen leuker, ook al was het maar theoretisch.
__________________
Waarschuwing:
Dit onderschrift is pretentieus en kan (soms) bekend overkomen!

Laatst gewijzigd door Bovenbuur : 3 december 2010 om 15:23.
Bovenbuur is offline   Met citaat antwoorden
Oud 3 december 2010, 16:16   #15
Sjaax
Europees Commissaris
 
Sjaax's schermafbeelding
 
Geregistreerd: 14 november 2006
Locatie: tussen het stemvee
Berichten: 7.237
Standaard

Citaat:
Oorspronkelijk geplaatst door Bovenbuur Bekijk bericht
Meer ontopic: leuke ontdekking dit, maar het blijft behoorlijk aards.
Om het over een andere boeg te gooien. Dit versterkt mijn overtuiging dat leven zich in grote mate kan aanpassen aan veranderende omstandigheden. Doemdenken met betrekking tot de klimaatopwarming is niet nodig. Het leven gaat vrolijk door.
Sjaax is offline   Met citaat antwoorden
Oud 3 december 2010, 16:35   #16
Dionysus
Staatssecretaris
 
Geregistreerd: 8 augustus 2010
Berichten: 2.863
Standaard

Citaat:
Oorspronkelijk geplaatst door Sjaax Bekijk bericht
Om het over een andere boeg te gooien. Dit versterkt mijn overtuiging dat leven zich in grote mate kan aanpassen aan veranderende omstandigheden. Doemdenken met betrekking tot de klimaatopwarming is niet nodig. Het leven gaat vrolijk door.
Er zit een limiet op hoe snel het leven zich kan aanpassen. Die bacteriën hadden duizenden jaren om zich aan te passen aan de stijgende hoeveelheden arsenicum in dat meer.

De mens zal zich op een paar generaties niet kunnen aanpassen.
__________________
I have promises to keep, and miles to go before I sleep.
Dionysus is offline   Met citaat antwoorden
Oud 3 december 2010, 22:22   #17
maddox
Secretaris-Generaal VN
 
maddox's schermafbeelding
 
Geregistreerd: 25 september 2002
Locatie: vilvoorde
Berichten: 71.866
Stuur een bericht via MSN naar maddox
Standaard

Citaat:
Oorspronkelijk geplaatst door Dionysus Bekijk bericht
Er zit een limiet op hoe snel het leven zich kan aanpassen. Die bacteriën hadden duizenden jaren om zich aan te passen aan de stijgende hoeveelheden arsenicum in dat meer.

De mens zal zich op een paar generaties niet kunnen aanpassen.
Dan crepeerd de mens maar en sterft die uit. Kunnen de volgende soorten zich over het vraagstuk des levens buigen.
__________________
De meeste mensen gaan naar het werk om geld te krijgen, niet om het te verdienen.
maddox is offline   Met citaat antwoorden
Oud 4 december 2010, 00:27   #18
Sjaax
Europees Commissaris
 
Sjaax's schermafbeelding
 
Geregistreerd: 14 november 2006
Locatie: tussen het stemvee
Berichten: 7.237
Standaard

Citaat:
Oorspronkelijk geplaatst door Dionysus Bekijk bericht
Er zit een limiet op hoe snel het leven zich kan aanpassen.
Ik denk dat je je daarin vergist, tenminste voor de afzienbare toekomst.

Het leven onder extreme condities bestaat al.
Citaat:
Een oase van leven rond een heetwaterbron is voor het eerst ook in zoet water gevonden. Tijdens een speurtocht met op een afstand bestuurbare duikboot ontdekten Amerikaanse biologen in het donkere water op de bodem van het Yellowstonemeer een leefgemeenschap van wormen, garnalen en zelfs mos
Bron: http://archief.nrc.nl/index.php/2010...+leven/check=Y

Als de condities zoals we die nu kennen veranderen, krijgen huidige marginale vormen van leven meer kansen.

En de mens? De mens kan zeer veel aan. Hij leeft in de ijskou boven de poolcirkel en leeft in de tropen en de woestijnen van de meest warme klimaten op aarde.
Sjaax is offline   Met citaat antwoorden
Oud 4 december 2010, 14:50   #19
Sjaax
Europees Commissaris
 
Sjaax's schermafbeelding
 
Geregistreerd: 14 november 2006
Locatie: tussen het stemvee
Berichten: 7.237
Standaard Hype 'nieuwe' bacterie onzin

Overigens beweert prof. Jef Huisman dat de buitenissige bacterie slechts een hype is. Er is waarschijnlijk een meetfoutje gemaakt.
Citaat:
"Zij hebben de bacterie uit het meer gehaald en in het lab opgekweekt. Ze legden hem in een kweekvloeistof van arseen om te zien hoe hij reageerde. Maar mét dat arseen is een klein beetje micromolair fosfaat meegekomen. Die minieme hoeveelheid fosfaat is voldoende, de bacterie heeft helemaal geen arseen nodig."
Bron: http://www.parool.nl/parool/nl/265/G...ie-onzin.dhtml

Laatst gewijzigd door Sjaax : 4 december 2010 om 14:50.
Sjaax is offline   Met citaat antwoorden
Oud 5 december 2010, 11:32   #20
Pieke
Perm. Vertegenwoordiger VN
 
Pieke's schermafbeelding
 
Geregistreerd: 17 februari 2005
Berichten: 8.177
Standaard

Citaat:
Oorspronkelijk geplaatst door Sjaax Bekijk bericht
Overigens beweert prof. Jef Huisman dat de buitenissige bacterie slechts een hype is. Er is waarschijnlijk een meetfoutje gemaakt.

Bron: http://www.parool.nl/parool/nl/265/G...ie-onzin.dhtml
knap van die man dat die op zulke korte tijd al een contra-analyse gemaakt heeft.
__________________
Bagle iabes . de bransg cordziz . a etharzi
The measure of a man is in what he does for those who can do nothing for him in return.
We give our consent every moment that we do not resist.
Reality is that which, when you stop believing in it, doesn't go away.
Pieke is offline   Met citaat antwoorden
Antwoord


Discussietools

Regels voor berichten
Je mag niet nieuwe discussies starten
Je mag niet reageren op berichten
Je mag niet bijlagen versturen
Je mag niet jouw berichten bewerken

vB-code is Aan
Smileys zijn Aan
[IMG]-code is Aan
HTML-code is Uit
Forumnavigatie


Alle tijden zijn GMT +1. Het is nu 02:01.


Forumsoftware: vBulletin®
Copyright ©2000 - 2025, Jelsoft Enterprises Ltd.
Content copyright ©2002 - 2020, Politics.be