Politics.be Registreren kan je hier.
Problemen met registreren of reageren op de berichten?
Een verloren wachtwoord?
Gelieve een mail te zenden naar [email protected] met vermelding van je gebruikersnaam.

Ga terug   Politics.be > Themafora > Maatschappij en samenleving
Registreer FAQForumreglement Ledenlijst

Maatschappij en samenleving Dit subforum handelt over zaken die leven binnen de maatschappij en in die zin politiek relevant (geworden) zijn.

Antwoord
 
Discussietools
Oud 24 juli 2025, 07:29   #1
reservespeler
Secretaris-Generaal VN
 
Geregistreerd: 5 augustus 2012
Berichten: 79.138
Standaard Goed bezig Anneleen! Opstapelen sociale voordelen / gezin wordt beperkt




Leeflonen opstapelen binnen één gezin? Dat pakken we aan.

Voor de berekening van het leefloon van samenwonende volwassenen werd het inkomen van de medebewoners niet meegerekend, wat leidde tot torenhoge bedragen van duizenden euro’s binnen één gezin.

Als volwassen mensen samenwonen, delen ze ook de kosten. Dan is het toch logisch dat hun inkomen wordt meegeteld bij de berekening van een leefloon? Vanaf nu tellen we dan ook de inkomens van inwonende (groot)ouders, (klein)kinderen, stiefouders en stiefkinderen mee bij de berekening.

We sluiten de achterpoortjes, want het is onaanvaardbaar dat mensen die niet werken er financieel beter uitkomen dan zij die elke dag hun best doen op de arbeidsmarkt. Minder weergeven


Het is de evidentie zelf dat we hier paal en perk aan stellen.
Zelf doen we dit bij ons al zo veel mogelijk (binnen het wettelijk kader is al veel mogelijk).
reservespeler is offline   Met citaat antwoorden
Oud 24 juli 2025, 07:45   #2
Vlad
Secretaris-Generaal VN
 
Vlad's schermafbeelding
 
Geregistreerd: 24 november 2012
Locatie: Toxandrië
Berichten: 24.636
Standaard

Huh. Was dat nog zo niet ???

De VRT zal wel iemand vinden die door die maatregel in de problemen komt wiens situatie we kunnen betreuren ...

Of het iets zal uithalen ... hoeveel mensen ik al niet hebben weten trouwen of scheiden gewoon omdat het financieel beter uitkomt ... ik kan ze op mijn twee handen niet tellen ... kan men trouwens nog steeds 'van tafel en bed gescheiden' samenleven in eenzelfde woning want op die manier kan of kon men ook twee volledige werkloosheidsuitkeringen blijven trekken ... (edit volgens AI wel al is het onder voorwaarden)
__________________
Wim Van Rooy: 'Islam is islamisme in rust, islamisme is islam in actie.'

Laatst gewijzigd door Vlad : 24 juli 2025 om 07:47.
Vlad is offline   Met citaat antwoorden
Oud 24 juli 2025, 07:57   #3
reservespeler
Secretaris-Generaal VN
 
Geregistreerd: 5 augustus 2012
Berichten: 79.138
Standaard

Citaat:
Oorspronkelijk geplaatst door Vlad Bekijk bericht
Huh. Was dat nog zo niet ???

De VRT zal wel iemand vinden die door die maatregel in de problemen komt wiens situatie we kunnen betreuren ...

Of het iets zal uithalen ... hoeveel mensen ik al niet hebben weten trouwen of scheiden gewoon omdat het financieel beter uitkomt ... ik kan ze op mijn twee handen niet tellen ... kan men trouwens nog steeds 'van tafel en bed gescheiden' samenleven in eenzelfde woning want op die manier kan of kon men ook twee volledige werkloosheidsuitkeringen blijven trekken ... (edit volgens AI wel al is het onder voorwaarden)
Hoe het bij de werkloosheid zit, weet ik niet.
Ik veronderstel dat dit specifiek over leefloon gaat.
reservespeler is offline   Met citaat antwoorden
Oud 24 juli 2025, 08:12   #4
Skobelev
Secretaris-Generaal VN
 
Skobelev's schermafbeelding
 
Geregistreerd: 14 maart 2013
Locatie: Kinshasa aan de Dender
Berichten: 41.532
Standaard

Goe bezig? Gisteren wist dat kalf op tv te zeggen dat ze, zodra er plaatsen vrij zijn, terug mannelijke asielzoekers gaat opnemen. Goe bezig? Mijn dikke kl….
__________________
Hope is nothing more than a postponed disappointment
Skobelev is offline   Met citaat antwoorden
Oud 24 juli 2025, 08:48   #5
reservespeler
Secretaris-Generaal VN
 
Geregistreerd: 5 augustus 2012
Berichten: 79.138
Standaard

Citaat:
Oorspronkelijk geplaatst door Skobelev Bekijk bericht
Goe bezig? Gisteren wist dat kalf op tv te zeggen dat ze, zodra er plaatsen vrij zijn, terug mannelijke asielzoekers gaat opnemen. Goe bezig? Mijn dikke kl….
Wat is daar mis mee?
Die mannelijke mensen slapen nu buiten.

Maar dat had u, in uw blinde N-VA haat, blijkbaar niet begrepen dat het over mensen ging die buiten slapen.

AS
reservespeler is offline   Met citaat antwoorden
Oud 24 juli 2025, 08:49   #6
reservespeler
Secretaris-Generaal VN
 
Geregistreerd: 5 augustus 2012
Berichten: 79.138
Standaard

Citaat:
Oorspronkelijk geplaatst door Skobelev Bekijk bericht
Goe bezig? Gisteren wist dat kalf op tv te zeggen dat ze, zodra er plaatsen vrij zijn, terug mannelijke asielzoekers gaat opnemen. Goe bezig? Mijn dikke kl….
Bewijs dat eens?
reservespeler is offline   Met citaat antwoorden
Oud 24 juli 2025, 09:08   #7
Zipper
Secretaris-Generaal VN
 
Zipper's schermafbeelding
 
Geregistreerd: 28 maart 2009
Berichten: 57.296
Standaard

Ik zal applaudiseren wanneer er geen enkele meer binnenkomt.
__________________






Citaat:
Oorspronkelijk geplaatst door Another Jack Bekijk bericht
Voor mijn part wordt Brussel en omstreken voor 90% islamitisch!
Zipper is offline   Met citaat antwoorden
Oud 24 juli 2025, 09:14   #8
Skobelev
Secretaris-Generaal VN
 
Skobelev's schermafbeelding
 
Geregistreerd: 14 maart 2013
Locatie: Kinshasa aan de Dender
Berichten: 41.532
Standaard

Citaat:
Oorspronkelijk geplaatst door reservespeler Bekijk bericht
Wat is daar mis mee?
Die mannelijke mensen slapen nu buiten.

Maar dat had u, in uw blinde N-VA haat, blijkbaar niet begrepen dat het over mensen ging die buiten slapen.

AS
Wat daar mis mee is? Dat nva de instroom ging stoppen maar dat de kraan nog steeds wagenwijd open staat. Dat is er mis mee.
__________________
Hope is nothing more than a postponed disappointment
Skobelev is offline   Met citaat antwoorden
Oud 24 juli 2025, 09:23   #9
wagner.666
Minister-President
 
wagner.666's schermafbeelding
 
Geregistreerd: 13 april 2020
Berichten: 5.426
Standaard

Citaat:
Oorspronkelijk geplaatst door reservespeler Bekijk bericht
Wat is daar mis mee?
Die mannelijke mensen slapen nu buiten.

Maar dat had u, in uw blinde N-VA haat, blijkbaar niet begrepen dat het over mensen ging die buiten slapen.

AS
Verklaart u nader wat AS, wil zeggen, of zijt ge bang om het woord voluit te schrijven, zal ik het eventjes doen in reserve zijn plaats
"ASHOLE"

Een vulgaire term die verwijst naar de anus.
Figuurlijk gebruikt als een belediging voor een onaangenaam, irritant of verachtelijk persoon.
wagner.666 is offline   Met citaat antwoorden
Oud 24 juli 2025, 09:24   #10
Karel Martel B
Perm. Vertegenwoordiger VN
 
Karel Martel B's schermafbeelding
 
Geregistreerd: 15 mei 2010
Berichten: 13.025
Standaard

Citaat:
Oorspronkelijk geplaatst door reservespeler Bekijk bericht
We sluiten de achterpoortjes, want het is onaanvaardbaar dat mensen die niet werken er financieel beter uitkomen dan zij die elke dag hun best doen op de arbeidsmarkt.
"Het is niet plezant te dweilen met de kraan open, dus hebben we de kraan half toe gedraaid"

Sympathiek, maar de kans is groot dat de kiezer het allemaal te weinig en te veel toegiften aan de sossen gaat vinden.

Beperking van de werkloosheid in tijd wordt gecompenseerd met extra federaal geld voor de OCMWs.

Steden die lamzakken aantrekken worden dus beloond en krijgen extra geld voor die lamzakken en extra ambtenaren voor die lamzakken.

Dit is een processie van echternach, hee gast.

Verwacht U aan heel wat minder kiezers, als dit het enige is dat ge gaat kunnen presteren.
__________________
"No human is illegal" is code for we hate the West and want to destroy it.
Karel Martel B is offline   Met citaat antwoorden
Oud 24 juli 2025, 09:42   #11
Dadeemelee
Secretaris-Generaal VN
 
Dadeemelee's schermafbeelding
 
Geregistreerd: 13 mei 2015
Locatie: Vlaams-Brabant
Berichten: 77.502
Standaard

Citaat:
Oorspronkelijk geplaatst door reservespeler Bekijk bericht



Leeflonen opstapelen binnen één gezin? Dat pakken we aan.

Voor de berekening van het leefloon van samenwonende volwassenen werd het inkomen van de medebewoners niet meegerekend, wat leidde tot torenhoge bedragen van duizenden euro’s binnen één gezin.

Als volwassen mensen samenwonen, delen ze ook de kosten. Dan is het toch logisch dat hun inkomen wordt meegeteld bij de berekening van een leefloon? Vanaf nu tellen we dan ook de inkomens van inwonende (groot)ouders, (klein)kinderen, stiefouders en stiefkinderen mee bij de berekening.

We sluiten de achterpoortjes, want het is onaanvaardbaar dat mensen die niet werken er financieel beter uitkomen dan zij die elke dag hun best doen op de arbeidsmarkt. Minder weergeven


Het is de evidentie zelf dat we hier paal en perk aan stellen.
Zelf doen we dit bij ons al zo veel mogelijk (binnen het wettelijk kader is al veel mogelijk).
Het is wel raar, ik lees hier:

https://www.mijntoeslagen.be/gezondheid/leefloon/

Citaat:
Voorwaarden Leefloon

Om in aanmerking te komen voor het leefloon in België, moet je aan bepaalde voorwaarden voldoen:leefloon

Je verblijft gewoonlijk in België. Je hoofdverblijfplaats is in België.
Je bent meerderjarig (minimum 18 jaar of ouder). Als minderjarige heb je ook recht op het leefloon als je getrouwd bent, als je een kind ten laste hebt of als je zwanger bent.
Je bent Belg of je bent (familielid van een) burger van de Europese Unie, erkend politiek vluchteling, subsidiair beschermde, staatloze of als vreemdeling ingeschreven in het bevolkingsregister.
Je hebt te weinig bestaansmiddelen. Dat zijn alle soorten inkomsten binnen het huishouden. Je weet op het
__________________
Caroline Leavitt: ‘aa moeder’
Dadeemelee is offline   Met citaat antwoorden
Oud 24 juli 2025, 09:50   #12
BigF
Secretaris-Generaal VN
 
BigF's schermafbeelding
 
Geregistreerd: 7 januari 2005
Berichten: 29.433
Standaard

foutje
__________________
It's just a ride.

Laatst gewijzigd door BigF : 24 juli 2025 om 09:50.
BigF is offline   Met citaat antwoorden
Oud 24 juli 2025, 10:02   #13
Oma
Eur. Commissievoorzitter
 
Oma's schermafbeelding
 
Geregistreerd: 9 februari 2010
Berichten: 8.131
Standaard

Citaat:
Oorspronkelijk geplaatst door Skobelev Bekijk bericht
Goe bezig? Gisteren wist dat kalf op tv te zeggen dat ze, zodra er plaatsen vrij zijn, terug mannelijke asielzoekers gaat opnemen. Goe bezig? Mijn dikke kl….
Rioolkrant hln vergeet nog te vermelden dat recent het leefloonbedrag werd verlaagd om de kloof met de werkenden groter te maken waarmee de politieke bedriegers liegen dat de werkenden zo meer loon zouden overhouden voor meer koopkracht....

Terwijl de groep leefloners door geschorste ex-werklozen groeit en steeds dieper in de armoede wordt geduwd, net als de belastingbetalers die het tekort van de ocmw's zullen moeten bijpassen door gemeentebelastingen want extra ocmw-geld voor meer leeflonen krijgen enkel 4 grote, vlaamse steden met meer dan 100.000 inwoners van de nva-regering.
Het volk verarmt zienderogen en intussen cumuleren vetbetaalde politiekers zich verder rijk.
__________________
Drie dingen kunnen maar kort verborgen blijven:
de zon, de maan en de waarheid.
Oma is offline   Met citaat antwoorden
Oud 24 juli 2025, 11:06   #14
BigF
Secretaris-Generaal VN
 
BigF's schermafbeelding
 
Geregistreerd: 7 januari 2005
Berichten: 29.433
Standaard

Citaat:
Oorspronkelijk geplaatst door Vlad Bekijk bericht
Huh. Was dat nog zo niet ???
Ik dacht het wel.

Bij de aanvraag van een leefloon worden wel degelijk de inkomsten van de mensen waarmee je een gezin vormt mee gerekend.

Wat wel kan is dat je elk een leefloon voor samenwonende aanvraagt.
Als er dan geen andere inkomsten zijn is de kans groot dat je dat ook elks krijgt.

Maar om dan aan de extreme bedragen van €5000 of €6000 te raken moet je ook wel met 7 a 8 man samenwonen.

En hoewel veel mensen zich dan blind staren op die €6000 blijft dat nog wel steeds maar een goeie €870 per persooon.
En dat klinkt al heel wat minder luxueus dan €6000 per maand.


Bovendien moet je er ook rekening mee houden dat, als die mensen allemaal 'alleen' gaan wonen, je 8 maal €1300 kwijt bent aan leeflonen voor een alleenstaande.

Dit is volgens mij dan ook niet veel meer dan een politica die ook wel eens wat pluimen op haar hoed wil prikken.
__________________
It's just a ride.
BigF is offline   Met citaat antwoorden
Oud 24 juli 2025, 11:15   #15
BigF
Secretaris-Generaal VN
 
BigF's schermafbeelding
 
Geregistreerd: 7 januari 2005
Berichten: 29.433
Standaard

Citaat:
Oorspronkelijk geplaatst door Oma Bekijk bericht
Rioolkrant hln vergeet nog te vermelden dat recent het leefloonbedrag werd verlaagd om de kloof met de werkenden groter te maken waarmee de politieke bedriegers liegen dat de werkenden zo meer loon zouden overhouden voor meer koopkracht....

Terwijl de groep leefloners door geschorste ex-werklozen groeit en steeds dieper in de armoede wordt geduwd, net als de belastingbetalers die het tekort van de ocmw's zullen moeten bijpassen door gemeentebelastingen want extra ocmw-geld voor meer leeflonen krijgen enkel 4 grote, vlaamse steden met meer dan 100.000 inwoners van de nva-regering.
Het volk verarmt zienderogen en intussen cumuleren vetbetaalde politiekers zich verder rijk.
De Belgische politieker is meester in het goochelen met termen als 'meer' en 'minder'.

Als men het heeft over het verschil tussen werken en werkloos groter maken, rekenen alle werkenden zich al rijk omdat ze geloven dat hun loon gaat stijgen. Maar als de werkloosheidsuitkeringen dalen hoeft hun loon helemaal niet te stijgen. Ook dan wordt het verschil groter.
Dat gaat er nu volgens mij ook gebeuren. Waarom moet er anders gewacht worden tot 2029 vooraleer de lonen zouden stijgen.

Mark my words: in 2029 wordt het: "De loonsstijging was voorzien om het verschil tussen werken en werkloosheid groter te maken. Ondertussen hebben we de werklozen zo hard aangepakt dat het verschil al groot genoeg is. Er is dus geen nood meer aan een stijging van de lonen. Bovendien is er geen budget voor."

En zo laat de hele bevolking zich telkens weer in de reet neuken.
De werklozen nu onmiddellijk want daar duurt het wonderbaarlijk genoeg niet tot 2029 vooraleer er ingegrepen wordt.
En de werkenden als ze geloven in een regering die hen binnen 5 jaar iets beloofd...
__________________
It's just a ride.
BigF is offline   Met citaat antwoorden
Oud 24 juli 2025, 12:30   #16
Xenophon
Secretaris-Generaal VN
 
Xenophon's schermafbeelding
 
Geregistreerd: 21 september 2009
Berichten: 101.999
Standaard

Citaat:
Oorspronkelijk geplaatst door BigF Bekijk bericht
De Belgische politieker is meester in het goochelen met termen als 'meer' en 'minder'.

Als men het heeft over het verschil tussen werken en werkloos groter maken, rekenen alle werkenden zich al rijk omdat ze geloven dat hun loon gaat stijgen. Maar als de werkloosheidsuitkeringen dalen hoeft hun loon helemaal niet te stijgen. Ook dan wordt het verschil groter.
Dat gaat er nu volgens mij ook gebeuren. Waarom moet er anders gewacht worden tot 2029 vooraleer de lonen zouden stijgen.

Mark my words: in 2029 wordt het: "De loonsstijging was voorzien om het verschil tussen werken en werkloosheid groter te maken. Ondertussen hebben we de werklozen zo hard aangepakt dat het verschil al groot genoeg is. Er is dus geen nood meer aan een stijging van de lonen. Bovendien is er geen budget voor."

En zo laat de hele bevolking zich telkens weer in de reet neuken.
De werklozen nu onmiddellijk want daar duurt het wonderbaarlijk genoeg niet tot 2029 vooraleer er ingegrepen wordt.
En de werkenden als ze geloven in een regering die hen binnen 5 jaar iets beloofd...
Het lijkt inderdaad te kloppen, als de leefloners minder krijgen dan lijkt het alsof de hardwerkende mens meer verdient.
Als de werkende Vlaming zo idioot is dat hij daar blij mee is, wat hij ook is, want de leefloners krijgen minder, dan is alles ok in Belgenland.
__________________
Citaat:
Ta gueule!
Xenophon is offline   Met citaat antwoorden
Oud 24 juli 2025, 18:34   #17
reservespeler
Secretaris-Generaal VN
 
Geregistreerd: 5 augustus 2012
Berichten: 79.138
Standaard

Citaat:
Oorspronkelijk geplaatst door Oma Bekijk bericht
Rioolkrant hln vergeet nog te vermelden dat recent het leefloonbedrag werd verlaagd om de kloof met de werkenden groter te maken waarmee de politieke bedriegers liegen dat de werkenden zo meer loon zouden overhouden voor meer koopkracht....

Terwijl de groep leefloners door geschorste ex-werklozen groeit en steeds dieper in de armoede wordt geduwd, net als de belastingbetalers die het tekort van de ocmw's zullen moeten bijpassen door gemeentebelastingen want extra ocmw-geld voor meer leeflonen krijgen enkel 4 grote, vlaamse steden met meer dan 100.000 inwoners van de nva-regering.
Het volk verarmt zienderogen en intussen cumuleren vetbetaalde politiekers zich verder rijk.
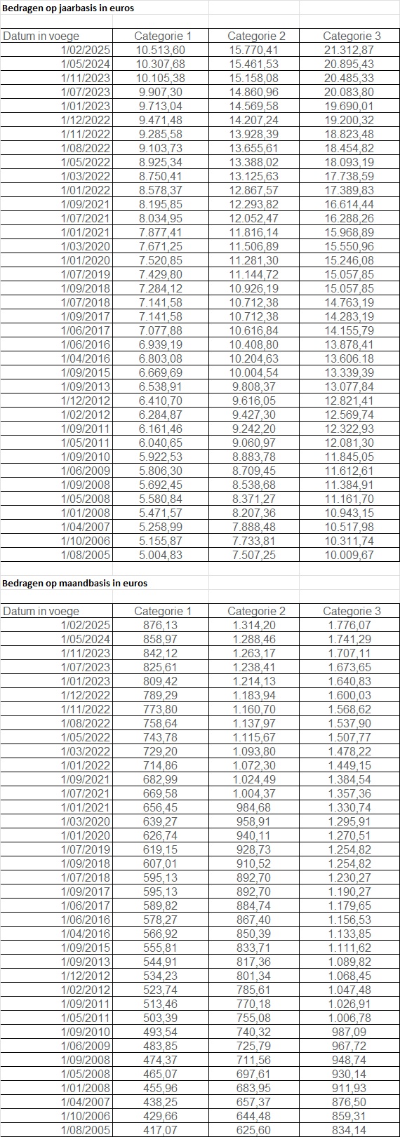
Betrapt op een leugen!
Laatste stand van het leefloon





Het leefloon was nog nooit zo hoog als nu.
Het steeg de laatste jaren zelfs sneller dan de index.
Bijgevoegde afbeelding(e)
Bestandstype: jpg Leefloon.jpg‎ (468,9 KB, 105x gelezen)

Laatst gewijzigd door reservespeler : 24 juli 2025 om 18:35.
reservespeler is offline   Met citaat antwoorden
Oud 24 juli 2025, 18:37   #18
reservespeler
Secretaris-Generaal VN
 
Geregistreerd: 5 augustus 2012
Berichten: 79.138
Standaard

Citaat:
Oorspronkelijk geplaatst door BigF Bekijk bericht
Ik dacht het wel.

Bij de aanvraag van een leefloon worden wel degelijk de inkomsten van de mensen waarmee je een gezin vormt mee gerekend.

Wat wel kan is dat je elk een leefloon voor samenwonende aanvraagt.
Als er dan geen andere inkomsten zijn is de kans groot dat je dat ook elks krijgt.

Maar om dan aan de extreme bedragen van €5000 of €6000 te raken moet je ook wel met 7 a 8 man samenwonen.

En hoewel veel mensen zich dan blind staren op die €6000 blijft dat nog wel steeds maar een goeie €870 per persooon.
En dat klinkt al heel wat minder luxueus dan €6000 per maand.


Bovendien moet je er ook rekening mee houden dat, als die mensen allemaal 'alleen' gaan wonen, je 8 maal €1300 kwijt bent aan leeflonen voor een alleenstaande.

Dit is volgens mij dan ook niet veel meer dan een politica die ook wel eens wat pluimen op haar hoed wil prikken.
Alleenstaande vrouw (weduwe) met een paar kinderen (kindergeld) komt nogal rap aan 4 a 5000 euro.

Laatst gewijzigd door reservespeler : 24 juli 2025 om 18:37.
reservespeler is offline   Met citaat antwoorden
Oud 24 juli 2025, 22:10   #19
Oma
Eur. Commissievoorzitter
 
Oma's schermafbeelding
 
Geregistreerd: 9 februari 2010
Berichten: 8.131
Standaard

Citaat:
Oorspronkelijk geplaatst door BigF Bekijk bericht
De Belgische politieker is meester in het goochelen met termen als 'meer' en 'minder'.

Als men het heeft over het verschil tussen werken en werkloos groter maken, rekenen alle werkenden zich al rijk omdat ze geloven dat hun loon gaat stijgen. Maar als de werkloosheidsuitkeringen dalen hoeft hun loon helemaal niet te stijgen. Ook dan wordt het verschil groter.
Dat gaat er nu volgens mij ook gebeuren. Waarom moet er anders gewacht worden tot 2029 vooraleer de lonen zouden stijgen.

Mark my words: in 2029 wordt het: "De loonsstijging was voorzien om het verschil tussen werken en werkloosheid groter te maken. Ondertussen hebben we de werklozen zo hard aangepakt dat het verschil al groot genoeg is. Er is dus geen nood meer aan een stijging van de lonen. Bovendien is er geen budget voor."

En zo laat de hele bevolking zich telkens weer in de reet neuken.
De werklozen nu onmiddellijk want daar duurt het wonderbaarlijk genoeg niet tot 2029 vooraleer er ingegrepen wordt.
En de werkenden als ze geloven in een regering die hen binnen 5 jaar iets beloofd...
Nee, nee....de werkloosheidsuitkeringen dalen niet alleen sneller tijdens die 2 jaar dat er nog mag gedopt worden maar de werklozen krijgen ook geen belastingvermindering meer...allez, toch de werklozen die belastingen moeten betalen.

Regimepers vrt:
Citaat:
De belastingvermindering die voor werklozen bestaat wordt stapsgewijs tegen 2029 afgeschaft.
Nu blijkt dat de werkloosheidsuitkering vanaf volgend jaar zwaarder belast zal worden.
Dat staat in het zomerakkoord van de federale regering.
Werken moet meer lonen is het motto van de regering.
Wie werkt zal minder belastingen betalen maar dat wordt gecompenseerd door de werklozen want die gaan in de loop van de volgende jaren meer belastingen moeten betalen.
Vandaag betalen werklozen tot een bepaald uitkeringsbedrag geen belastingen.
De belastingvermindering voor volledig werklozen tot die belastingvrije grens kan dus niet afgeschaft worden want dat bestaat niet want er worden geen belastingen betaald.

En op welke manier zullen werkenden dan minder belastingen betalen om meer loon over te houden?
Dat vertellen ze er niet bij want dat is ook niet waar..
Citaat:
Werkloosheidsuitkeringen in belgië zijn vrij laag dus wordt er een belastingvermindering door de fiscus meegerekend.
In de persoonlijke inkomstenbelasting rekent de fiscus dus een belastingvermindering aan voor werkloosheid maar enkel als de werkloze tijdens dat referentie jaar ook nog gewerkt heeft en dus ook belastingen verschuldigd is of als het uitkeringsbedrag hoger was dan de grens voor vrijstelling van belastingen.
En die belastingvermindering zou nu dus ook verdwijnen....en dat is dan de werkende, die als tijdelijke werkloze, de belastingvermindering verliest op zijn persoonlijke inkomstenbelasting

De versnelde vermindering van de werkloosheidsuitkering zou ook betekenen dat werklozen na 2 jaar ONDER het bedrag van een leefloon zouden kunnen belanden maar dat heeft pezewever al voorzien door een overgangsregeling in het zomerakkoord met aanpassing van het leefloonbedrag. (dat reeds onder de armoedegrens ligt maar intussen verder verlaagd wordt.)
Dan is het gemakkelijk voor pinokkio de zever om te kakelen dat de werkloosheidsuitkering na 2 jaar niet onder het leefloon kan zakken.

Dus: het zijn de werkenden die de belastingvermindering verliezen en niet de (volledig) werklozen.
Voor wie slechts kort tijdelijk werkloos was, dreigt extra belastingen te moeten betalen....en dat zijn dan werkenden, hé?
Hoezo, de werkenden krijgen meer loon?
Hoezo, de werklozen moeten meer belastingen betalen?
Citaat:
Groen: stefaan van hecke
U weet toch wanneer u een kompas nodig hebt?
Als u het noorden kwijt bent.
Wat nooit gezien is, in de geschiedenis van ons land is hoe een regering arbeidsrechten en sociale bescherming - die gedurende 80 jaar zijn opgebouwd met sociale strijd, met overleg tussen werkgevers en werknemers - met 1 pennetrek en enkele nachten onderhandelen ondermijnt en terugdraait.

VB: barbara pas
u weet zeer goed, dat zonder echte institutionele hervormingen, die u trouwens nog maar eens aan de kiezer beloofde, dat zonder die fundamentele hervormingen geen orde op zaken KAN gesteld worden.
Nagels met koppen van de oppositie!!

En partij Niet-Voor-Auchtonen gaf pinokkio bartje een kompas om koers te houden terwijl eu-marionet pezewever al helemaal het noorden kwijt is en opzettelijk recht met zijne titanic afstevent op de ijsberg terwijl hij kweelt dat werken meer moet lonen maar intussen wel de belastingvermindering afschaft.
__________________
Drie dingen kunnen maar kort verborgen blijven:
de zon, de maan en de waarheid.
Oma is offline   Met citaat antwoorden
Oud 24 juli 2025, 22:16   #20
Oma
Eur. Commissievoorzitter
 
Oma's schermafbeelding
 
Geregistreerd: 9 februari 2010
Berichten: 8.131
Standaard

Citaat:
Oorspronkelijk geplaatst door reservespeler Bekijk bericht
Betrapt op een leugen!
Laatste stand van het leefloon



Het leefloon was nog nooit zo hoog als nu.
Het steeg de laatste jaren zelfs sneller dan de index.
Tja, politiekers en het journaal bedriegen en liegen dan ook aan de lopende band.
Er werd gemeld dat het leefloonbedrag werd aangepast en verlaagd en we zijn JULI 2025
Je onnozele lijstjes lopen maar tot februari 2025, met het regeerakkoord en nog es door het zomerakkoord veranderen er dagelijks en om de haverklap allerlei "hervormingen" zelfs al voor 2029/2035.
__________________
Drie dingen kunnen maar kort verborgen blijven:
de zon, de maan en de waarheid.

Laatst gewijzigd door Oma : 24 juli 2025 om 22:18.
Oma is offline   Met citaat antwoorden
Antwoord



Regels voor berichten
Je mag niet nieuwe discussies starten
Je mag niet reageren op berichten
Je mag niet bijlagen versturen
Je mag niet jouw berichten bewerken

vB-code is Aan
Smileys zijn Aan
[IMG]-code is Aan
HTML-code is Uit
Forumnavigatie


Alle tijden zijn GMT +1. Het is nu 18:43.


Forumsoftware: vBulletin®
Copyright ©2000 - 2025, Jelsoft Enterprises Ltd.
Content copyright ©2002 - 2020, Politics.be