Politics.be Registreren kan je hier.
Problemen met registreren of reageren op de berichten?
Een verloren wachtwoord?
Gelieve een mail te zenden naar [email protected] met vermelding van je gebruikersnaam.

Ga terug   Politics.be > Themafora > Mobiliteit & verkeersveiligheid
Registreer FAQForumreglement Ledenlijst

Mobiliteit & verkeersveiligheid Een nieuw themaforum!

Antwoord
 
Discussietools
Oud 26 oktober 2014, 11:14   #81
Johan Daelemans
Perm. Vertegenwoordiger VN
 
Geregistreerd: 29 augustus 2013
Berichten: 14.637
Standaard

Citaat:
Oorspronkelijk geplaatst door PeterCC Bekijk bericht
Ik heb mij in mijn jonge jaren nog beziggehouden met het afstellen van motoren.
Dat hoeft vandaag niet meer. Elk probleem kan worden teruggebracht naar een slecht werkend onderdeel. probleem situeren en vervangen, meer is het niet.
De OBII uitlezen kan met een toestelletje dat minder kost dan een klein onderhoud bij uw garagehouder.
Johan Daelemans is offline   Met citaat antwoorden
Oud 26 oktober 2014, 18:59   #82
non-conformist
Europees Commissaris
 
non-conformist's schermafbeelding
 
Geregistreerd: 8 september 2013
Berichten: 6.210
Standaard

Citaat:
Oorspronkelijk geplaatst door Johan Daelemans Bekijk bericht
Niet juist. De verhouding brandstof/lucht wordt door een carburator binnen twee grenzen gehouden. Hoe beter de carburator, hoe dichter beide grenzen.
Bij een modern injectiesysteem spreekt men niet meer van 'aanvaardbare' afwijkingen, de mengverhouding is nagenoeg juist in alle omstandigheden.
Ik denk dat je er een heel pak naast zit.

Als datgene wat geprogrammeerd is altijd juist is, waarom zitten er dan dingen op zoals O2-correctie, MAT correctie, CLT correctie, etc etc etc etc.

Ik denk dat je eens wat meer naar een gasanalyse van een draaiende motor moet kijken en eens komen vertellen hoezeer een lambda in de uitlaat fluctueert (en dat is dus niet alleen op stationair hé, want daar is het nog het makkelijkst van al.

Als je je les zou kennen, dan weet je dat door de hoeveelheid lucht die door de venturi van een carburator stroomt er een bepaalde onderdruk ontstaat. Het is deze onderdruk die bepaalt hoeveel brandstof er mee aangezogen wordt. Zo simpel is het.

En wat zien we bij een injectiesysteem, juist een map sensor om de onderdruk te meten waarbij deze onderdruk gerelateerd wordt aan een bepaalde vullingsgraad.(of in sommige gevallen een maf die de luchthoeveelheid meet wat in feite op hetzelfde neerkomt)
non-conformist is offline   Met citaat antwoorden
Oud 26 oktober 2014, 19:07   #83
non-conformist
Europees Commissaris
 
non-conformist's schermafbeelding
 
Geregistreerd: 8 september 2013
Berichten: 6.210
Standaard

Citaat:
Oorspronkelijk geplaatst door Johan Daelemans Bekijk bericht
Als je ziet wat hier wordt neergeschreven zou zo'n cursus zou toch nuttig kunnen zijn.
De grote revolutie die de moderne motoren hebben doorgemaakt is trouwens niet dankzij de juist geleverde mengverhouding maar het vervangen van de traditionele ontsteking door een digitaal gestuurde versie.

Het juist sturen van het ontstekingsmoment heeft een aandeel van 80% in het hele verhaal.
Al ooit zo'n curve gezien ? Daar is niets, maar dan ook totaal niets verschillend aan ten opzichte van een vervroegingscurve zoals die met een klassieke stroomverdeler werd gedaan. Het enige verschil zit hem in de klopsensor die voelt of er detonatie is en een aantal graden van de vervroeging afhaalt.



Een voorbeeldje.

1ste tabel : volumetrische efficiëntie.
2de tabel : mengverhouding
3de tabel : ontstekingscurve.

Zoals je kan zien zal de ontstekingsvervroeging stijgen in functie van het toerental en op een bepaald ogenblik het maximum bereiken (hier 2800 t/min). Verder zie je op de Y-as de onderdruk staan, waarbij je ziet dat in de lagere regionen (deceleration) de vervroeging oploopt omdat er meer onderdruk is door de gesloten smoorklep en dus een slecht brandbaar mengsel.

Dit is exact hetzelfde wat bij een vroegere stroomverdeler gebeurde m.b.v de mechanische en vacuum vervroeging.

Maar je moet mij niet geloven hoor.

Laatst gewijzigd door non-conformist : 26 oktober 2014 om 19:09.
non-conformist is offline   Met citaat antwoorden
Oud 26 oktober 2014, 19:25   #84
Micele
Secretaris-Generaal VN
 
Micele's schermafbeelding
 
Geregistreerd: 18 mei 2005
Locatie: Limburg
Berichten: 52.928
Standaard

Citaat:
Oorspronkelijk geplaatst door Johan Daelemans Bekijk bericht
Enkel de SFC (specifiek brandstofverbruik) cijfers zijn zinnig materiaal in deze discussie..
In die wiki-link die ik gaf over Porsche 911 staat ook het specifiek brandstofverbruik van de toen geldige normen tussen 1984 - 1989 van die versies.
http://de.wikipedia.org/wiki/Porsche..._des_G-Modells
__________________
De vuile waarheid over ICE, Nederlandse versie: https://www.youtube.com/watch?v=kekJgcSdN38
Micele is offline   Met citaat antwoorden
Oud 26 oktober 2014, 19:27   #85
Micele
Secretaris-Generaal VN
 
Micele's schermafbeelding
 
Geregistreerd: 18 mei 2005
Locatie: Limburg
Berichten: 52.928
Standaard

Citaat:
Oorspronkelijk geplaatst door Johan Daelemans Bekijk bericht
Enkel de SFC (specifiek brandstofverbruik) cijfers zijn zinnig materiaal in deze discussie..
In die wiki-link die ik gaf over Porsche 911 staat ook het specifiek brandstofverbruik van de toen geldige normen tussen 1984 - 1989 van die versies.
http://de.wikipedia.org/wiki/Porsche..._des_G-Modells

Hoeveel % is van 15 naar 16 liter ?
__________________
De vuile waarheid over ICE, Nederlandse versie: https://www.youtube.com/watch?v=kekJgcSdN38
Micele is offline   Met citaat antwoorden
Oud 1 november 2014, 00:13   #86
Johan Daelemans
Perm. Vertegenwoordiger VN
 
Geregistreerd: 29 augustus 2013
Berichten: 14.637
Standaard

Citaat:
Oorspronkelijk geplaatst door non-conformist Bekijk bericht
Maar je moet mij niet geloven hoor.
Volgens mij is uw tabel niet van een correct geprogrammeerde ECU of van een oude verdeler.
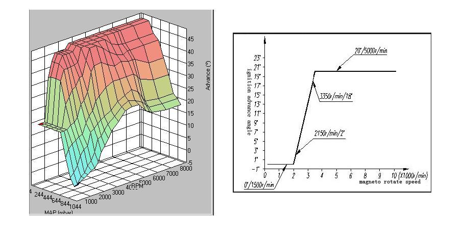
Kijk even naar onderstaande tabel.
Zie je dat de geprogrammeerde vervroeging veel meer is dan het 'gebroken' rechtlijnig ontstekingsmoment van een oude verdeler?
( beeld rechts)

Zoals je ziet kan je die curves nooit met een veer (vervroeging in funtie van toerental) nabootsen. Je ziet ook dat het ontstekingstijdstip terugloopt na het toerental van het maximaal koppel... ook dat is NIET mogelijk met een conventionele (oude) verdeelkop. Uw oude verdeler kan ook de curve niet beïnvloeden bij deellast. Hij kan enkel de curve onveranderd verschuiven door middel van het vacuummembraam.

Dus neen, ik hoef je niet te geloven.
Bijgevoegde miniaturen
Klik op de afbeelding voor een grotere versie

Naam:  3D-Ignition.JPG‎
Bekeken: 445
Grootte:  68,3 KB
ID: 95896  

Johan Daelemans is offline   Met citaat antwoorden
Oud 1 november 2014, 00:16   #87
Johan Daelemans
Perm. Vertegenwoordiger VN
 
Geregistreerd: 29 augustus 2013
Berichten: 14.637
Standaard

Citaat:
Oorspronkelijk geplaatst door Micele Bekijk bericht
In die wiki-link die ik gaf
Ik zou niet weten waarom ik die links moet lezen als jij de moeite niet doet om hier beknopt uit te leggen wat je bedoeld.
Johan Daelemans is offline   Met citaat antwoorden
Oud 1 november 2014, 00:37   #88
Micele
Secretaris-Generaal VN
 
Micele's schermafbeelding
 
Geregistreerd: 18 mei 2005
Locatie: Limburg
Berichten: 52.928
Standaard

Citaat:
Oorspronkelijk geplaatst door Johan Daelemans Bekijk bericht
Ik zou niet weten waarom ik die links moet lezen als jij de moeite niet doet om hier beknopt uit te leggen wat je bedoeld.
Dat heb ik al ruimschoots gedaan, btw welke verbruiksnorm was er geldig vóór 1993 doe eens wat moeite om na te denken of dat dezelfde is als de huidige NEDC.
__________________
De vuile waarheid over ICE, Nederlandse versie: https://www.youtube.com/watch?v=kekJgcSdN38
Micele is offline   Met citaat antwoorden
Oud 1 november 2014, 00:40   #89
Johan Daelemans
Perm. Vertegenwoordiger VN
 
Geregistreerd: 29 augustus 2013
Berichten: 14.637
Standaard

Citaat:
Oorspronkelijk geplaatst door Micele Bekijk bericht
Dat heb ik al ruimschoots gedaan, btw welke verbruiksnorm was er geldig vóór 1993 doe eens wat moeite om na te denken of dat dezelfde is als de huidige NEDC.
Wat wil je eigenlijk zeggen?
Johan Daelemans is offline   Met citaat antwoorden
Oud 1 november 2014, 00:45   #90
Johan Daelemans
Perm. Vertegenwoordiger VN
 
Geregistreerd: 29 augustus 2013
Berichten: 14.637
Standaard

Citaat:
Oorspronkelijk geplaatst door non-conformist Bekijk bericht
Als datgene wat geprogrammeerd is altijd juist is, waarom zitten er dan dingen op zoals O2-correctie, MAT correctie, CLT correctie, etc etc etc etc.
Waarom spreek jij van correctie?
Dat zijn nu eenmaal de gegevens (via sensoren) die de ECU gebruikt om het ontstekingstijdstip en injectiehoeveelheid te bepalen. Dankzij deze gegevens krijgen we schone en zuinige motoren.
Johan Daelemans is offline   Met citaat antwoorden
Oud 1 november 2014, 01:20   #91
Micele
Secretaris-Generaal VN
 
Micele's schermafbeelding
 
Geregistreerd: 18 mei 2005
Locatie: Limburg
Berichten: 52.928
Standaard

Citaat:
Oorspronkelijk geplaatst door Johan Daelemans Bekijk bericht
Wat wil je eigenlijk zeggen?
Wat bedoel je eigenlijk in je vorige post ?
Citaat:
Enkel de SFC (specifiek brandstofverbruik) cijfers zijn zinnig materiaal in deze discussie..
Dit is toch duidelijk Nederlands of niet ?

Citaat:
Oorspronkelijk geplaatst door Micele Bekijk bericht
In die wiki-link die ik gaf over Porsche 911 staat ook het specifiek brandstofverbruik van de toen geldige normen tussen 1984 - 1989 van die versies.
http://de.wikipedia.org/wiki/Porsche..._des_G-Modells

Hoeveel % is van 15 naar 16 liter ?
De verbruiksnormen van toen -1986- is volgens DIN70020 inofficiele drittelmix (of op basis van 3 snelheden), daarna 1992 pas kwam de richtlijn 70/220/EEG of de voorloper van de huidige verbruiksnorm NEDC.
Omstreeks 1986 kwamen de eerste motoren met katalysatoren op de markt, dus het specifiek verbruik waren de normen van toen als je wil vergelijken met dezelfde motor zonder katalysator.

Citaat:
http://de.wikipedia.org/wiki/Fahrzyk...klen_in_Europa

Im Jahr 1976 folgte auf die erste Ölkrise eine Methode der Wirtschaftskommission der Vereinten Nationen für Europa zur Messung des Kraftstoffverbrauchs, die Grundlage der DIN-Norm 70030 aus dem Jahr 1978 wurde, nach der ein Fahrzyklus den Stadtverkehr simulierte und zusätzlich konstante Geschwindigkeiten von 90 km/h und 120 km/h im Labor gefahren wurden.[2] Zuvor wurde nach DIN 70020 ohne Fahrzyklus bei nur einer Geschwindigkeit gemessen, und fortan gebräuchlich wurde der inoffizielle arithmetische Mittelwert, genannt Drittelmix.[3]

Im Verlauf des Jahres 1992 wurde der Fahrzyklus der Richtlinie 70/220/EWG über den Stadtverkehr hinaus erweitert.[4] Die Europäische Kommission (EC) wird in solchen Belangen von einem EC-Gremium namens Motor Vehicle Emissions Group (MVEG) beraten.[5] Der erweiterte Fahrzyklus wird Neuer Europäischer Fahrzyklus (NEFZ) genannt, englisch New European Driving Cycle (NEDC).
Een Nederlandse Wiki versie is er niet.

Om het kort te maken: volgens het specifiek verbruik(drittelmix of DIN-Norm 70030 ?) verbruikten de eerste motoren met katalysator 7 % meer als dezelfde motor zonder, adhv van het vb Porsche 911 Carrera 3,2 met of zonder katalysator, gewoon de post ervoor ook eens begrijpend lezen.
__________________
De vuile waarheid over ICE, Nederlandse versie: https://www.youtube.com/watch?v=kekJgcSdN38

Laatst gewijzigd door Micele : 1 november 2014 om 01:48.
Micele is offline   Met citaat antwoorden
Oud 1 november 2014, 17:22   #92
non-conformist
Europees Commissaris
 
non-conformist's schermafbeelding
 
Geregistreerd: 8 september 2013
Berichten: 6.210
Standaard

Citaat:
Oorspronkelijk geplaatst door Johan Daelemans Bekijk bericht
Volgens mij is uw tabel niet van een correct geprogrammeerde ECU of van een oude verdeler.
Kijk even naar onderstaande tabel.
Zie je dat de geprogrammeerde vervroeging veel meer is dan het 'gebroken' rechtlijnig ontstekingsmoment van een oude verdeler?
( beeld rechts)

Zoals je ziet kan je die curves nooit met een veer (vervroeging in funtie van toerental) nabootsen. Je ziet ook dat het ontstekingstijdstip terugloopt na het toerental van het maximaal koppel... ook dat is NIET mogelijk met een conventionele (oude) verdeelkop. Uw oude verdeler kan ook de curve niet beïnvloeden bij deellast. Hij kan enkel de curve onveranderd verschuiven door middel van het vacuummembraam.

Dus neen, ik hoef je niet te geloven.
Die 2D curve van jouw is alleen de mechanische vervroeging.

Maar vertel me eens wat die vacuum vervroeging deed op deellast en bij hoog vacuum ?

Die 3 dimensionele tabel is overigens niet meer dan dat een driedimensionele tabel van hetgeen in mijn voorbeeld in 2-dimensionele vorm stond.

Hierbij hetzelfde maar in 3D vorm.


Als je overigens goed gekeken had en de schaal en de map waarden in mbar in overweging genomen had zou je merken dat deze niet eens zoveel verschilt.
Je kan natuurlijk altijd het meest logische blijven ontkennen.

(PS : een ontstekingscurve is eigen aan een specifieke motor en dus daar kan jij in deze totaal geen oordeel over vellen. De enige limiet is detonatie/vermogensverlies)

Laatst gewijzigd door non-conformist : 1 november 2014 om 17:41.
non-conformist is offline   Met citaat antwoorden
Oud 1 november 2014, 17:32   #93
non-conformist
Europees Commissaris
 
non-conformist's schermafbeelding
 
Geregistreerd: 8 september 2013
Berichten: 6.210
Standaard

Citaat:
Oorspronkelijk geplaatst door Johan Daelemans Bekijk bericht
Waarom spreek jij van correctie?
Dat zijn nu eenmaal de gegevens (via sensoren) die de ECU gebruikt om het ontstekingstijdstip en injectiehoeveelheid te bepalen. Dankzij deze gegevens krijgen we schone en zuinige motoren.
Fout de ecu gebruikt ze alleen ter correctie. De vullingsgraad wordt in een VE-tabel geprogrammeerd nadat hij op de vermogens testbank gestaan heeft en men de waarde aangepast heeft aan wat de motor nodig heeft om een bepaalde belasting aan te kunnen zonder te rijk of te arm te worden. Dat is dus een voorgeprogrammeerde toestand, waarbij men van een wideband O2 sensor gebruikt maakt om deze te bekomen

De O2 (meestal een narrow band) sensor past kleine verschillen aan die zich altijd voordoen door bijvoorbeeld op grotere hoogte te rijden, als de luchtdruk lager is, temperatuurverschillen etc.

Het is wel heel duidelijk dat je er niets van kent.

Laatst gewijzigd door non-conformist : 1 november 2014 om 17:44.
non-conformist is offline   Met citaat antwoorden
Oud 1 november 2014, 21:42   #94
Johan Daelemans
Perm. Vertegenwoordiger VN
 
Geregistreerd: 29 augustus 2013
Berichten: 14.637
Standaard

Citaat:
Oorspronkelijk geplaatst door non-conformist Bekijk bericht
Je kan natuurlijk altijd het meest logische blijven ontkennen.
Wat is dat dan, het meest logische?

U stelt dat een veertje en een vacuumklep in de oude verdeler het evengoed doet dan de huidige ontstekingssystemen.
U stelt dat de oude carburator het evengoed doet dan de huidige moderne injectiesystemen.
U stelt dat de oude met mekaar niet communicerende verdeler en carburator het evengoed doet dan de huidige totaalsystemen die elke verandering in atmosferische toestand, belasting en toestand van de motor haarfijn bijstellen.

Is het dat, het meest logische?
Johan Daelemans is offline   Met citaat antwoorden
Oud 1 november 2014, 22:03   #95
Johan Daelemans
Perm. Vertegenwoordiger VN
 
Geregistreerd: 29 augustus 2013
Berichten: 14.637
Standaard

Citaat:
Oorspronkelijk geplaatst door non-conformist Bekijk bericht
Die 2D curve van jouw is alleen de mechanische vervroeging.
In tegenstelling tot een huidige moderne 'ontsteking-map' is de mechanische vervroeging is ook niet meer dan gegevens in een 2D vlak.
Het uitveren van twee veertjes in functie van het toerental.

Citaat:
Oorspronkelijk geplaatst door non-conformist Bekijk bericht
Maar vertel me eens wat die vacuum vervroeging deed op deellast en bij hoog vacuum ?
Eerst en vooral de lezers vertellen dat er een hoog vacuum heerst bij gesloten gasklep en een laag vacuum bij volopen gasklep.
Je kan beter spreken van een vacuum verlating gezien bij volgas het ontstekingsmoment later zal plaatsvinden.

Dus... bij x% deellast x% verlating van ontstekingsmoment
bij volgas, max verlating van het ontstekingsmoment.

Citaat:
Oorspronkelijk geplaatst door non-conformist Bekijk bericht
(PS : een ontstekingscurve is eigen aan een specifieke motor en dus daar kan jij in deze totaal geen oordeel over vellen. De enige limiet is detonatie/vermogensverlies)
Een ontstekingscurve bij een motor met een traditionele verdeler is eigen aan die verdeler en heeft nikst te maken met de motor zelf.
Afhankelijk van de veertjes in de verdeler en het vacuum klepje met zijn bevestiging en verhouding bepalen de ontstekingscurve.

Laatst gewijzigd door Johan Daelemans : 1 november 2014 om 22:04.
Johan Daelemans is offline   Met citaat antwoorden
Oud 1 november 2014, 22:13   #96
Johan Daelemans
Perm. Vertegenwoordiger VN
 
Geregistreerd: 29 augustus 2013
Berichten: 14.637
Standaard

Citaat:
Oorspronkelijk geplaatst door non-conformist Bekijk bericht
Hierbij hetzelfde maar in 3D vorm.
Post die dan eens opnieuw maar dan compleet met de cijfers op X,Y en Z-as en andere nodige info. Alleen zo kan ik nakijken of het werkelijk zo is.
Johan Daelemans is offline   Met citaat antwoorden
Oud 1 november 2014, 22:22   #97
Johan Daelemans
Perm. Vertegenwoordiger VN
 
Geregistreerd: 29 augustus 2013
Berichten: 14.637
Standaard

Citaat:
Oorspronkelijk geplaatst door non-conformist Bekijk bericht
Het is wel heel duidelijk dat je er niets van kent.
Ja, dat is wel duidelijk.
Johan Daelemans is offline   Met citaat antwoorden
Oud 1 november 2014, 22:45   #98
non-conformist
Europees Commissaris
 
non-conformist's schermafbeelding
 
Geregistreerd: 8 september 2013
Berichten: 6.210
Standaard

Citaat:
Oorspronkelijk geplaatst door Johan Daelemans Bekijk bericht
In tegenstelling tot een huidige moderne 'ontsteking-map' is de mechanische vervroeging is ook niet meer dan gegevens in een 2D vlak.
Het uitveren van twee veertjes in functie van het toerental.



Eerst en vooral de lezers vertellen dat er een hoog vacuum heerst bij gesloten gasklep en een laag vacuum bij volopen gasklep.
Je kan beter spreken van een vacuum verlating gezien bij volgas het ontstekingsmoment later zal plaatsvinden.

Dus... bij x% deellast x% verlating van ontstekingsmoment
bij volgas, max verlating van het ontstekingsmoment.



Een ontstekingscurve bij een motor met een traditionele verdeler is eigen aan die verdeler en heeft nikst te maken met de motor zelf.
Afhankelijk van de veertjes in de verdeler en het vacuum klepje met zijn bevestiging en verhouding bepalen de ontstekingscurve.
Jongens toch :

http://en.wikipedia.org/wiki/Ignition_timing



Mechanical timing advance[edit]





Distributor weights
An increasing mechanical advancement of the timing takes place with increasing engine speed. This is possible by using the law of inertia. Weights and springs inside the distributor rotate and affect the timing advance according to engine speed by altering the angular position of the timing sensor shaft with respect to the actual engine position. This type of timing advance is also referred to as centrifugal timing advance. The amount of mechanical advance is dependent solely on the speed at which the distributor is rotating. In a 2-stroke engine, this is the same as engine RPM. In a 4-stroke engine, this is half the engine RPM. The relationship between advance in degrees and distributor RPM can be drawn as a simple 2-dimensional graph.

Lighter weights or heavier springs can be used to reduce the timing advance at lower engine RPM. Heavier weights or lighter springs can be used to advance the timing at lower engine RPM. Usually, at some point in the engine's RPM range, these weights contact their travel limits, and the amount of centrifugal ignition advance is then fixed above that



Vacuum vervroeging :

Vacuum timing advance[edit]

The second method used to advance (or retard) the ignition timing is called vacuum timing advance. This method is almost always used in addition to mechanical timing advance. It generally increases fuel economy and driveability, particularly at lean mixtures. It also increases engine life through more complete combustion, leaving less unburned fuel to wash away the cylinder wall lubrication (piston ring wear), and less lubricating oil dilution (bearings, camshaft life, et. al). Vacuum advance works by using a manifold vacuum source to advance the timing at low to mid engine load conditions by rotating the position sensor (contact points, hall effect or optical sensor, reluctor stator, etc.) mounting plate in the distributor with respect to the distributor shaft. Vacuum advance is diminished at wide open throttle (WOT), causing the timing advance to return to the base advance in addition to the mechanical advance.

One source for vacuum advance is a small opening located in the wall of the throttle body or carburetor adjacent to but slightly upstream of the edge of the throttle plate. This is called a ported vacuum. The effect of having the opening here is that there is little or no vacuum at idle, hence little or no advance. Other vehicles use vacuum directly from the intake manifold. This provides full engine vacuum (and hence, full vacuum advance) at idle. Some vacuum advance units have two vacuum connections, one at each side of the actuator membrane, connected to both manifold vacuum and ported vacuum. These units will both advance and retard the ignition timing.

On some vehicles, a temperature sensing switch will apply manifold vacuum to the vacuum advance system when the engine is hot or cold, and ported vacuum at normal operating temperature. This is a version of emissions control; the ported vacuum allowed carburetor adjustments for a leaner idle mixture. At high engine temperature, the increased advance raised engine speed to allow the cooling system to operate more efficiently. At low temperature the advance allowed the enriched warm-up mixture to burn more completely, providing better cold-engine running.

Electrical or mechanical switches may be used to prevent or alter vacuum advance under certain conditions. Early emissions electronics would engage some in relation to oxygen sensor signals or activation of emissions-related equipment. It was also common to prevent some or all of the vacuum advance in certain gears to prevent detonation due to lean-burning engines


Een totale vervroeging bestaat overigens uit : statische vervroeging + centrifugaal vervroeging + vacuum vervroeging.

Vandaag die grafiek.

Die electronische ontsteking doet net hetzelfde : op stationair toerental (laag toerental met een bepaalde vacuum waarde) een vaste vervroeging waar men niet onder gaat en vandaar af horizontaal steeds meer vervroegen met stijgend toerental (stijgende waarde vervroeging) en daarbovenop nog eens een vacuumvervroeging afhankelijk van de condities en dus belasting....

Laatst gewijzigd door non-conformist : 1 november 2014 om 22:56.
non-conformist is offline   Met citaat antwoorden
Oud 1 november 2014, 22:45   #99
non-conformist
Europees Commissaris
 
non-conformist's schermafbeelding
 
Geregistreerd: 8 september 2013
Berichten: 6.210
Standaard

dubbel

Laatst gewijzigd door non-conformist : 1 november 2014 om 22:47.
non-conformist is offline   Met citaat antwoorden
Oud 1 november 2014, 22:48   #100
non-conformist
Europees Commissaris
 
non-conformist's schermafbeelding
 
Geregistreerd: 8 september 2013
Berichten: 6.210
Standaard

Citaat:
Oorspronkelijk geplaatst door Johan Daelemans Bekijk bericht
Post die dan eens opnieuw maar dan compleet met de cijfers op X,Y en Z-as en andere nodige info. Alleen zo kan ik nakijken of het werkelijk zo is.
Had je niet door dat die grafiek een extrapollatie van die tabel is ?

Tip : kijk eens terug naar die tabel
non-conformist is offline   Met citaat antwoorden
Antwoord



Regels voor berichten
Je mag niet nieuwe discussies starten
Je mag niet reageren op berichten
Je mag niet bijlagen versturen
Je mag niet jouw berichten bewerken

vB-code is Aan
Smileys zijn Aan
[IMG]-code is Aan
HTML-code is Uit
Forumnavigatie


Alle tijden zijn GMT +1. Het is nu 10:38.


Forumsoftware: vBulletin®
Copyright ©2000 - 2025, Jelsoft Enterprises Ltd.
Content copyright ©2002 - 2020, Politics.be